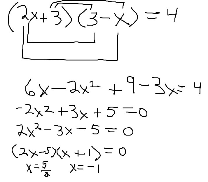
SOLUTION: Can u help me solve for x. (2x+3) (3-x)=4. I'm confused
Algebra
->
Test
-> SOLUTION: Can u help me solve for x. (2x+3) (3-x)=4. I'm confused
Log On
Test Calculators and Practice
Test
Answers archive
Answers
Word Problems
Word
Lessons
Lessons
Click here to see ALL problems on test
Question 877263
:
Can u help me solve for x. (2x+3) (3-x)=4. I'm confused
Answer by
fcabanski(1391)
(
Show Source
):
You can
put this solution on YOUR website!