SOLUTION: integral from 0 to 1 of sqrt[x]/sqrt[1-x^6] thank you.
Algebra
->
Test
-> SOLUTION: integral from 0 to 1 of sqrt[x]/sqrt[1-x^6] thank you.
Log On
Test Calculators and Practice
Test
Answers archive
Answers
Word Problems
Word
Lessons
Lessons
Click here to see ALL problems on test
Question 864098
:
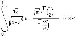
integral from 0 to 1 of sqrt[x]/sqrt[1-x^6]
thank you.
Answer by
Fombitz(32388)
(
Show Source
):
You can
put this solution on YOUR website!
where
is the Gamma function.