SOLUTION: Express the number in rectangular form. 3(cosπ/3+isinπ/3)
Algebra
->
Test
-> SOLUTION: Express the number in rectangular form. 3(cosπ/3+isinπ/3)
Log On
Test Calculators and Practice
Test
Answers archive
Answers
Word Problems
Word
Lessons
Lessons
Click here to see ALL problems on test
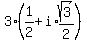
Question 852819
:
Express the number in rectangular form.
3(cosπ/3+isinπ/3)
Answer by
Edwin McCravy(20060)
(
Show Source
):
You can
put this solution on YOUR website!