SOLUTION: solve for x 25^(x+1)=125^x
Algebra
->
Test
-> SOLUTION: solve for x 25^(x+1)=125^x
Log On
Test Calculators and Practice
Test
Answers archive
Answers
Word Problems
Word
Lessons
Lessons
Click here to see ALL problems on test
Question 819262
:
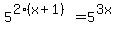
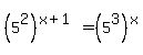
solve for x
25^(x+1)=125^x
Answer by
KMST(5328)
(
Show Source
):
You can
put this solution on YOUR website!