SOLUTION: What is the next term in the geometric sequence 16, –4, 1, {{{-1/4}}} , ... ?
Algebra
->
Test
-> SOLUTION: What is the next term in the geometric sequence 16, –4, 1, {{{-1/4}}} , ... ?
Log On
Test Calculators and Practice
Test
Answers archive
Answers
Word Problems
Word
Lessons
Lessons
Click here to see ALL problems on test
Question 771026
:
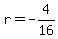
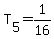
What is the next term in the geometric sequence 16, –4, 1,
, ... ?
Answer by
Jc0110(165)
(
Show Source
):
You can
put this solution on YOUR website!