SOLUTION: Let P(-3,6) and Q(10,1) be two points in the coordinate plane: a. Find the distance between P and Q. b. Find the slope intercept form of the equation of the line that contai

Algebra ->  Test -> SOLUTION: Let P(-3,6) and Q(10,1) be two points in the coordinate plane: a. Find the distance between P and Q. b. Find the slope intercept form of the equation of the line that contai      Log On


   



Question 730242: Let P(-3,6) and Q(10,1) be two points in the coordinate plane:
a. Find the distance between P and Q.
b. Find the slope intercept form of the equation of the line that contains P and Q.
c. Find an equation of the circle that contains P and Q and whose center is the midpoint of the segment PQ.
d. Find the equation for the line that contains P and that is perpendicular to the segment PQ.
e. Find an equation for the line that passes through the origin and that is parallel to the segment PQ.

Found 3 solutions by lynnlo, ikleyn, josgarithmetic:
Answer by lynnlo(4176) About Me  (Show Source):
Answer by ikleyn(53742) About Me  (Show Source):
You can put this solution on YOUR website!
.
Let P(-3,6) and Q(10,1) be two points in the coordinate plane:
a. Find the distance between P and Q.
b. Find the slope intercept form of the equation of the line that contains P and Q.
c. Find an equation of the circle that contains P and Q and whose center is the midpoint of the segment PQ.
d. Find the equation for the line that contains P and that is perpendicular to the segment PQ.
e. Find an equation for the line that passes through the origin and that is parallel to the segment PQ.
~~~~~~~~~~~~~~~~~~~~~~~~~~~~~~~~~~~


Why did you stop asking only 5 different questions in one post ?

You could ask 137 more questions to show how hardworking and curious you are . . .


I write it to you to explain that asking 5 different questions
in one post is out of borders of common sense.

It is also out of the borders of polite communication with tutors.



Answer by josgarithmetic(39790) About Me  (Show Source):
You can put this solution on YOUR website!
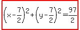
Question (c):

Circle containing P and Q with center at midpoint

Midpoint at x=%28-3%2B10%29%2F2=7%2F2, y=%286%2B1%29%2F2=7%2F2

Diameter length sqrt%28%28-3-10%29%5E2%2B%286-1%29%5E2%29
sqrt%28169%2B25%29
sqrt%28194%29
Radius is %281%2F2%29sqrt%28194%29
Radius SQUARED is %281%2F4%29194
Radius squared is 97%2F2

The asked-for circle is highlight%28%28x-7%2F2%29%5E2%2B%28y-7%2F2%29%5E2=97%2F2%29.
This was not rechecked.