SOLUTION: Solve this Quadratic equation for me please. X^3-X^2+2=0 ^= means= indices or power to.

Algebra ->  Test -> SOLUTION: Solve this Quadratic equation for me please. X^3-X^2+2=0 ^= means= indices or power to.       Log On


   



Question 722004: Solve this Quadratic equation for me please.
X^3-X^2+2=0
^= means= indices or power to.

Answer by josgarithmetic(39633) About Me  (Show Source):
You can put this solution on YOUR website!
It is cubic. It is not quadratic.

Suggestion for solving is to try to look for binomial factorization for the cubic polynomial. Try dividing by (x-1), (x+1), (x-2), and (x+2). At least one of them should give no remainder. The ones which divide giving no remainder are binomial factors.

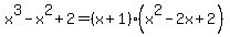
Now, I tried it myself. x+1 is the only binomial factor.
x%5E3-x%5E2%2B2=%28x%2B1%29%28x%5E2-2x%2B2%29, so when you try to use the general solution for a quadratic equation to find roots of the quadratic expression, you will only find the complex roots, 1%2Bi and 1-i. the only real root then for the given cubic equation is x=-1.