SOLUTION: http://m1146.photobucket.com/albumview/albums/pigrabbit_8/197F811B-1CCE-4228-92C1-030C81927B4A-9093-000009BA5EB0B739_zpsba1efaaa.jpg.html?o=0&newest=1 I need help with #30. Plea

Algebra ->  Test -> SOLUTION: http://m1146.photobucket.com/albumview/albums/pigrabbit_8/197F811B-1CCE-4228-92C1-030C81927B4A-9093-000009BA5EB0B739_zpsba1efaaa.jpg.html?o=0&newest=1 I need help with #30. Plea      Log On


   



Question 704029: http://m1146.photobucket.com/albumview/albums/pigrabbit_8/197F811B-1CCE-4228-92C1-030C81927B4A-9093-000009BA5EB0B739_zpsba1efaaa.jpg.html?o=0&newest=1
I need help with #30. Please help me and explain. Thank you.

Answer by Alan3354(69443) About Me  (Show Source):
You can put this solution on YOUR website!
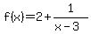
f%28x%29+=+2+%2B+1%2F%28x-3%29
As x increases, 1/(x-3) approaches zero so f(x) --> 2
There's a discontinuity at x = 3, f(x) --> infinity there.