SOLUTION: http://m1146.photobucket.com/albumview/albums/pigrabbit_8/197F811B-1CCE-4228-92C1-030C81927B4A-9093-000009BA5EB0B739_zpsba1efaaa.jpg.html?o=0&newest=1 Hello. Please help me with

Algebra ->  Test -> SOLUTION: http://m1146.photobucket.com/albumview/albums/pigrabbit_8/197F811B-1CCE-4228-92C1-030C81927B4A-9093-000009BA5EB0B739_zpsba1efaaa.jpg.html?o=0&newest=1 Hello. Please help me with      Log On


   



Question 704028: http://m1146.photobucket.com/albumview/albums/pigrabbit_8/197F811B-1CCE-4228-92C1-030C81927B4A-9093-000009BA5EB0B739_zpsba1efaaa.jpg.html?o=0&newest=1
Hello. Please help me with #32! I'm very confused! Thank you in advance.

Answer by josgarithmetic(39620) About Me  (Show Source):
You can put this solution on YOUR website!
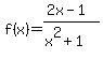
That picture is somewhat difficult to read but you're interested in limit as x approaches positive and negative infinities for f%28x%29=%282x-1%29%2F%28x%5E2%2B1%29. Unless read incorrectly.

That function is defined for the entire real number line, so nomatter what x is picked, the function and limit are the same. The denominator, x^2+1, is never zero.

The evaluation directly for limits at infinity may be difficult to see. Try dividing numerator AND denominator by x^2:


Toward negative infinity, the numerator approaches 0-1 and denominator approaches 1+0. The function then approaches -1/1, (negative 1).
... and you may then decide what happens as x approaches positive infinity?