SOLUTION: Plz help me to solve this question Find the derivative of the following Y =(9x2+1)(3x+2) y=(x2+3)(x-1-1)

Algebra ->  Test -> SOLUTION: Plz help me to solve this question Find the derivative of the following Y =(9x2+1)(3x+2) y=(x2+3)(x-1-1)      Log On


   



Question 699160: Plz help me to solve this question
Find the derivative of the following
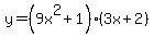
Y =(9x2+1)(3x+2)
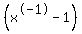
y=(x2+3)(x-1-1)

Answer by Simnepi(216) About Me  (Show Source):
You can put this solution on YOUR website!
First you need to expand (multiply out) the brackets
Eg
y=%289x%5E2%2B1%29%283x%2B2%29
y=+27x%5E3%2B18x%5E2%2B3x%2B2
Now you can differentiate the expression to find the derivative.
So
dy%2Fdx=+81x%5E2%2B36x%2B3
Now we can do a similar thing with the other equation
Unfortunately there's a problem! the second bracket contains (x-1-1) is that (x-2)? or is it%28x%5E-1-1%29
I'll treat it like it's %28x%5E-1-1%29
So we have
y=%28x%5E2%2B3%29%28x%5E-1-1%29
Let's expand the brackets
y=+x-x%5E2%2B3x%5E-1-3
Now you can differentiate the expression to find the derivative.
dy%2Fdx+=+1-2x-3x%5E-2