SOLUTION: Complete & simplify 42+21/30

Algebra ->  Test -> SOLUTION: Complete & simplify 42+21/30      Log On


   



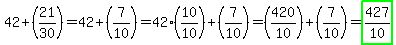
Question 679172: Complete & simplify
42+21/30

Answer by ReadingBoosters(3246) About Me  (Show Source):
You can put this solution on YOUR website!

...
427%2F10+=+42.7%2F1+=+42.7
...........................
Delighted to help; feel free to email if you have further questions.
HomeworkHelpers@readingboosters.com
-Reading Boosters
Website: www.MyHomeworkAnswers.com
Wanting for others what we want for ourselves.