SOLUTION: Find the first term from the given terms of the arithmetic sequence. _____, _______, ____, ____, 27, ____, ____, 42 / a1 = 7

Algebra ->  Test -> SOLUTION: Find the first term from the given terms of the arithmetic sequence. _____, _______, ____, ____, 27, ____, ____, 42 / a1 = 7      Log On


   



Question 662385: Find the first term from the given terms of the arithmetic sequence. _____, _______, ____, ____, 27, ____, ____, 42 / a1 = 7
Answer by MathLover1(20850) About Me  (Show Source):
You can put this solution on YOUR website!
since you are given _____, _______, ____, ____, 27, ____, ____, 42 /
a1+=+7...means you have first term already

To find any term of an arithmetic sequence:
a%5Bn%5D=a%5B1%5D%2B%28n-1%29d
where a%5B1%5D is the first term of the sequence, d is the common difference, n is the number of the term to find
given:
a%5B1%5D=7
d=5

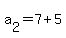
n=2
a%5B2%5D=7%2B%282-1%295
a%5B2%5D=7%2B5
a%5B2%5D=12

n=3
a%5B3%5D=7%2B%283-1%295
a%5B3%5D=7%2B10
a%5B3%5D=17


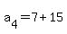
n=4
a%5B4%5D=7%2B%284-1%295
a%5B4%5D=7%2B15
a%5B4%5D=22


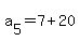
n=5
a%5B5%5D=7%2B%285-1%295
a%5B5%5D=7%2B20
a%5B5%5D=27
so, you have a sequence where you just need to add 5 to each term to arrive at the next term
7, 12, 17, 22, 27, 32,37, 42