SOLUTION: Please help me solve this equation: {{{ 81x^8-34x^4y^4+y^8}}} this is factor completely

Algebra ->  Test -> SOLUTION: Please help me solve this equation: {{{ 81x^8-34x^4y^4+y^8}}} this is factor completely      Log On


   



Question 639023: Please help me solve this equation: +81x%5E8-34x%5E4y%5E4%2By%5E8 this is factor completely
Answer by lwsshak3(11628) About Me  (Show Source):
You can put this solution on YOUR website!
Factor:
+81x%5E8-34x%5E4y%5E4%2By%5E8
Take difference of sqrt of end terms and expand by squaring
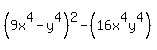
%289x%5E4-y%5E4%29%5E2=%2881x%5E8-18x%5E4y%5E4%2By%5E8%29-%2816x%5E4y%5E4%29
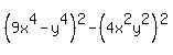
%289x%5E4-y%5E4%29%5E2-%2816x%5E4y%5E4%29
%289x%5E4-y%5E4%29%5E2-%284x%5E2y%5E2%29%5E2
difference of 2 squares
%28%289x%5E4-y%5E4%29%2B%284x%5E2y%5E2%29%29%28%289x%5E4-y%5E4%29-%284x%5E2y%5E2%29%29