Quadratic equation (in our case ) has the following solutons:

For these solutions to exist, the discriminant should not be a negative number.
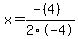
First, we need to compute the discriminant : .
Discriminant d=0 is zero! That means that there is only one solution: .
Expression can be factored: 
Again, the answer is: 0.5, 0.5.
Here's your graph:
 |