SOLUTION: Would someone please take the time out to review the answers I have come up with to these problems and tell me if they are correct or in correct. Thanks!! Rational Exponents 2

Algebra ->  Test -> SOLUTION: Would someone please take the time out to review the answers I have come up with to these problems and tell me if they are correct or in correct. Thanks!! Rational Exponents 2      Log On


   



Question 550751: Would someone please take the time out to review the answers I have come up with to these problems and tell me if they are correct or in correct.
Thanks!!
Rational Exponents
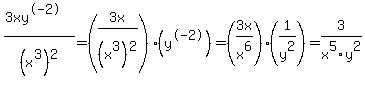
2. (3Xy^-2)/(x^3)^2 = 9/x^4y^4
4.(-a^2b)/(2b^-1)^3 = -a^6b^6/8
6. (4X)/(y3)^-3 = y9/64x^3
34. 16 ^3/4 = 8

46. 11^(1/3).11^3=

Found 2 solutions by Alan3354, KMST:
Answer by Alan3354(69443) About Me  (Show Source):
You can put this solution on YOUR website!
Would someone please take the time out to review the answers I have come up with to these problems and tell me if they are correct or in correct.
Thanks!!
Rational Exponents
2. (3Xy^-2)/(x^3)^2 = 9/x^4y^4
The numerator is not clear.
Is it 3xy%5E%28-2%29 ?
4.(-a^2b)/(2b^-1)^3 = -a^6b^6/8
= -a%5E2b%2F%288b%5E%28-3%29%29
= -a%5E2b%5E4%2F8
-----------------
6. (4X)/(y3)^-3 = y9/64x^3
= 4x%2Fy%5E%28-9%29
= 4xy%5E9
---------------
34. 16 ^3/4 = 8 That's correct.
--------------
46. 11^(1/3).11^3=
If the dot means multiply,
= 11%5E%2810%2F3%29 or,
= 11%5E3%2Aroot%283%2C11%29
= 1331%2Aroot%283%2C11%29
------------
Use the asterisk for multiply.

Answer by KMST(5328) About Me  (Show Source):
You can put this solution on YOUR website!
You may be reading the question wrong. Or you may have the right answers, but may be posting the wrong question.
2. (3xy^-2)/(x^3)^2 =
That is different from
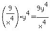
(3xy^-2/x^3)^2== 9/(x^4y^4)
(I'm using parentheses so it's not understood as 9/(x^4)(y^4) = %289%2Fx%5E4%29y%5E4=9y%5E4%2Fx%5E4 ).
4. (-a^2b)/(2b^-1)^3=
That is different from (-a^2b/2b^-1)^3=
6. (4x)/(y3)^-3=%284x%29%2F%28y3%29%5E-3=4x%2Fy%5E-9=4xy%5E9
That is different from
(4x/y3)^-3= =y^9/(64x^3)