SOLUTION: The question says, "the ratio of the diameter of a larger circle to the diameter of a smaller circle is 3/2. Which number represents the ratio of the area of the larger circle to t
Algebra ->
Test
-> SOLUTION: The question says, "the ratio of the diameter of a larger circle to the diameter of a smaller circle is 3/2. Which number represents the ratio of the area of the larger circle to t
Log On
Question 545909: The question says, "the ratio of the diameter of a larger circle to the diameter of a smaller circle is 3/2. Which number represents the ratio of the area of the larger circle to the area of the smaller circle?"
The answer choices are:
A. 3/2
B. 2/3
C. 4/9
D. 9/4
I need help soon please! Im clueless!!! Answer by htmentor(1343) (Show Source):
You can put this solution on YOUR website! Let d = the diameter of the smaller circle
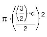
Then the larger circle has diameter =
The area of a circle =
So the area of the smaller circle =
And the area of the larger circle =
When we take the ratio, we are left with (3/2)^2 = 9/4
Ans: D.