SOLUTION: 3x^2+4x+6

Algebra ->  Test -> SOLUTION: 3x^2+4x+6      Log On


   



Question 521191: 3x^2+4x+6
Answer by oberobic(2304) About Me  (Show Source):
You can put this solution on YOUR website!
3x^2 +4x + 6 = 0
.
This does not factor
.
Solved by pluggable solver: SOLVE quadratic equation with variable
Quadratic equation ax%5E2%2Bbx%2Bc=0 (in our case 3x%5E2%2B4x%2B6+=+0) has the following solutons:

x%5B12%5D+=+%28b%2B-sqrt%28+b%5E2-4ac+%29%29%2F2%5Ca

For these solutions to exist, the discriminant b%5E2-4ac should not be a negative number.

First, we need to compute the discriminant b%5E2-4ac: b%5E2-4ac=%284%29%5E2-4%2A3%2A6=-56.

The discriminant -56 is less than zero. That means that there are no solutions among real numbers.

If you are a student of advanced school algebra and are aware about imaginary numbers, read on.


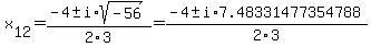
In the field of imaginary numbers, the square root of -56 is + or - sqrt%28+56%29+=+7.48331477354788.

The solution is

Here's your graph:
graph%28+500%2C+500%2C+-10%2C+10%2C+-20%2C+20%2C+3%2Ax%5E2%2B4%2Ax%2B6+%29