SOLUTION: If a United States dollar is worth $1.41 in Canadian money, how much is $100 in Canadian money worth in United States money, to the nearest cent?

Algebra ->  Test -> SOLUTION: If a United States dollar is worth $1.41 in Canadian money, how much is $100 in Canadian money worth in United States money, to the nearest cent?      Log On


   



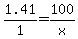
Question 466902: If a United States dollar is worth $1.41 in Canadian money, how much is $100 in Canadian money worth in United States money, to the nearest cent?
Answer by robertb(5830) About Me  (Show Source):
You can put this solution on YOUR website!
1.41%2F1+=+100%2Fx ==> x+=+100%2F1.41 ==> x = 70.92 USD.