SOLUTION: Reduce the rational expression to lowest terms. (32x^5 - 4x^2)/(32x^3 + 16x^2 + 8x)

Algebra ->  Test -> SOLUTION: Reduce the rational expression to lowest terms. (32x^5 - 4x^2)/(32x^3 + 16x^2 + 8x)       Log On


   



Question 418294: Reduce the rational expression to lowest terms.
(32x^5 - 4x^2)/(32x^3 + 16x^2 + 8x)

Answer by Edwin McCravy(20056) About Me  (Show Source):
You can put this solution on YOUR website!
%2832x%5E5+-+4x%5E2%29%2F%2832x%5E3+%2B+16x%5E2+%2B+8x%29

Factor GCF of 4x² out of the numerator.
Factor GCF of 8x out of the denominator.:
%284x%5E2%288x%5E3-1%29%29%2F%288x%284x%5E2%2B2x%2B1%29%29
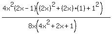
Factor the expression in parentheses in the numerator by using
the formula for the difference of cubes: A³-B³ = (A-B)(A²+AB+B²)
where A=2x and B=1


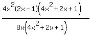
%284x%5E2%282x-1%29%284x%5E2%2B2x%2B1%29%29%2F%288x%284x%5E2%2B2x%2B1%29%29
Cancel the 4 on the top into the 8 on the bottom.

Cancel the x on the bottom into the x² on the top

Cancel the (4x²+2x+1)'s

And all that's left is
%28x%282x-1%29%29%2F2
Edwin