SOLUTION: I got stuck on a problem that read -7q²+2q+9=0. we're starting to solve quadratic equations with two real solutions.I get stick after plugging in a,b,c into quadratic formula.

Algebra ->  Test -> SOLUTION: I got stuck on a problem that read -7q²+2q+9=0. we're starting to solve quadratic equations with two real solutions.I get stick after plugging in a,b,c into quadratic formula.      Log On


   



Question 376672: I got stuck on a problem that read -7q²+2q+9=0. we're starting to solve quadratic equations with two real solutions.I get stick after plugging in a,b,c into quadratic formula.
Answer by mananth(16946) About Me  (Show Source):
You can put this solution on YOUR website!
-7q²+2q+9=0
...
a=-7, b= 2
c=9
...
b^2-4ac = 4-(-252)
=4+252
=256
...
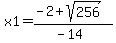
x1=+%28-2%2Bsqrt%28256%29%29%2F%28-14%29
..
x1=%28-2%2B16%29%2F%28-14%29
..
x1=-1
..
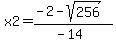
x2=+%28-2-sqrt%28256%29%29%2F%28-14%29
x2=-16/-14
x2=8/7 OR 1.285

..
m.ananth@hotmail.ca