SOLUTION: Please help me simplify this {{{ (x^(1/3)-1)/(x-1) }}}

Algebra ->  Test -> SOLUTION: Please help me simplify this {{{ (x^(1/3)-1)/(x-1) }}}      Log On


   



Question 375384: Please help me simplify this +%28x%5E%281%2F3%29-1%29%2F%28x-1%29+
Found 2 solutions by Fombitz, Alan3354:
Answer by Fombitz(32388) About Me  (Show Source):
Answer by Alan3354(69443) About Me  (Show Source):
You can put this solution on YOUR website!
Please help me simplify this +%28x%5E%281%2F3%29-1%29%2F%28x-1%29+
--------
You can treat the denominator as a difference of 2 cubes with
x+=+%28x%5E%281%2F3%29%29%5E3
Sub y for x^1/3
+%28x%5E%281%2F3%29-1%29%2F%28x-1%29+=+%28y+-+1%29%2F%28y%5E3+-+1%29
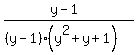
= %28y-1%29%2F%28%28y-1%29%2A%28y%5E2+%2B+y+%2B+1%29%29
= 1%2F%28y%5E2+%2B+y+%2B+1%29%29
Sub back for y
= 1%2F%28x%5E%282%2F3%29+%2B+x%5E%281%2F3%29+%2B+1%29
--------------------
Do you consider that simpler? I don't.
I would answer that the original cannot be simplified.