SOLUTION: Finding the mean and standard deviation. Let the random variable x represent the number of girls in a family of four children. Construct a table describing the probability distribu

Algebra ->  Test -> SOLUTION: Finding the mean and standard deviation. Let the random variable x represent the number of girls in a family of four children. Construct a table describing the probability distribu      Log On


   



Question 364984: Finding the mean and standard deviation. Let the random variable x represent the number of girls in a family of four children. Construct a table describing the probability distribution, then find the mean and standard deviation
Answer by Fombitz(32388) About Me  (Show Source):
You can put this solution on YOUR website!
There are 2%5E4=16 possible outcomes.
Count the number of girls for each possible outcome.
BBBB=0
BBBG=1
BBGB=1
BBGG=2
BGBB=1
BGBG=2
BGGB=2
BGGG=3
GBBB=1
GBBG=2
GBGB=2
GBGG=3
GGBB=2
GGBG=3
GGGB=3
GGGG=4
.
.
.
The number of girls range from 0 to 4.
Count the occurences divided by total number of outcomes to get probability.
X+,+P%28X%29
------
0,+1%2F16
1,+4%2F16
2,+6%2F16
3,+4%2F16
4,+1%2F16
.
.
.
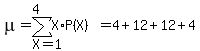
Mean

mu=sum%28X%2AP%28X%29%2CX=1%2C4%29=4%2B12%2B12%2B4%29%2F16
mu=sum%28X%2AP%28X%29%2CX=1%2C4%29=32%2F16
highlight%28mu=sum%28X%2AP%28X%29%2CX=1%2C4%29=2%29
.
.
.
Standard deviation (find variance first)

VAR=sum%28%28X-mu%29%5E2%2AP%28X%29%2CX=1%2C4%29=%284%2B4%2B0%2B4%2B4%29%2F16
VAR=sum%28%28X-mu%29%5E2%2AP%28X%29%2CX=1%2C4%29=12%2F16
VAR=sum%28%28X-mu%29%5E2%2AP%28X%29%2CX=1%2C4%29=3%2F4
sigma=sqrt%28VAR%29
highlight%28sigma=sqrt%283%29%2F2%29