SOLUTION: Sketch the graph f(x)= X^2-1/X^2-X-2. Clearly label the axis system, all asymptotes, intercepts, and possible holes

Algebra ->  Test -> SOLUTION: Sketch the graph f(x)= X^2-1/X^2-X-2. Clearly label the axis system, all asymptotes, intercepts, and possible holes       Log On


   



Question 358576: Sketch the graph f(x)= X^2-1/X^2-X-2. Clearly label the axis system, all asymptotes, intercepts, and possible holes
Answer by Fombitz(32388) About Me  (Show Source):
You can put this solution on YOUR website!
f%28x%29=+%28x%5E2-1%29%2F%28x%5E2-x-2%29
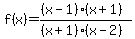
f%28x%29=+%28%28x-1%29%28x%2B1%29%29%2F%28%28x%2B1%29%28x-2%29%29
f%28x%29=+%28x-1%29%2F%28x-2%29
Vertical Asympote:There is a vertical asymptote at x=2.
.
.
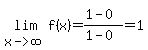
f%28x%29=+%28x-1%29%2F%28x-2%29
f%28x%29=%281-1%2Fx%29%2F%281-2%2Fx%29
lim%28x-%3Einfinity%2Cf%28x%29%29=%281-0%29%2F%281-0%29=1
There is a horizontal asymptote at y=1.
.
.
X-intercept: When x=1, y=0
.
.
Y-intercept: When x=0,y=1%2F2
.
.
.