SOLUTION: Please help me solve this equation: Evaluate the integral {{{ int ( sin^2(3x)cos^5(3x), dx ) }}}

Algebra ->  Test -> SOLUTION: Please help me solve this equation: Evaluate the integral {{{ int ( sin^2(3x)cos^5(3x), dx ) }}}      Log On


   



Question 356868: Please help me solve this equation:
Evaluate the integral +int+%28+sin%5E2%283x%29cos%5E5%283x%29%2C+dx+%29+

Answer by Fombitz(32388) About Me  (Show Source):
You can put this solution on YOUR website!
Let u=3x, du=3dx

.
.
.
%28sin%28u%29%29%5E2%2B%28cos%28u%29%29%5E2=1
%28cos%28u%29%29%5E2=1-%28sin%28u%29%29%5E2
%28cos%28u%29%29%5E4=1-%28sin%28u%29%29%5E4
Substitute,


.
.
.
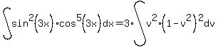
Let v=sin%28u%29, dv=cos%28u%29du



.
.
Now the problem is reduced to a simple polynomial integration.
Integrate and then substitute back for v and then finally u.
.
.
Additionally, this is not an algebra problem.