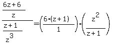
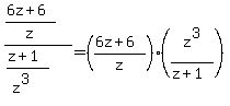
SOLUTION: 6z+6/z/z+1/z^3
Algebra
->
Test
-> SOLUTION: 6z+6/z/z+1/z^3
Log On
Test Calculators and Practice
Test
Answers archive
Answers
Word Problems
Word
Lessons
Lessons
Click here to see ALL problems on test
Question 356518
:
6z+6/z/z+1/z^3
Answer by
Fombitz(32388)
(
Show Source
):
You can
put this solution on YOUR website!