SOLUTION: Find the equation of the line with slope -1 that is the tangent to the curve y=1/(x-1) (5marks: 1mark for graph, for the general equation of the line, for getting the quadratic, f

Algebra ->  Test -> SOLUTION: Find the equation of the line with slope -1 that is the tangent to the curve y=1/(x-1) (5marks: 1mark for graph, for the general equation of the line, for getting the quadratic, f      Log On


   



Question 353350: Find the equation of the line with slope -1 that is the tangent to the curve y=1/(x-1)
(5marks: 1mark for graph, for the general equation of the line, for getting the quadratic, for solving for K, for the solution)

Answer by Fombitz(32388) About Me  (Show Source):
You can put this solution on YOUR website!
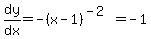
The slope of the tangent line is the value of the derivative of the function.
y=%28x-1%29%5E%28-1%29
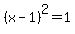
dy%2Fdx=-%28x-1%29%5E%28-2%29=-1
%28x-1%29%5E2=1
x-1=0+%2B-+1
x=0 and x=2
There are two points where the slope is equal to -1.
Find the corresponding y values using the function.
When x=0, y=1%2F%280-1%29=-1
When x=2, y=1%2F%282-1%29=1
Then using the point slope form of a line with the slope and the point,y-yp=m%28x-xp%29 for both points.
y-%28-1%29=-1%28x-0%29
y%2B1=-x
highlight%28y1=-x-1%29
.
.
.
y-1=-1%28x-2%29%29
y-1=-x%2B2
highlight_green%28y2=-x%2B3%29
.
.
.