SOLUTION: Please help me solve this equation: Let A be the area of the region that lies under the graph of {{{ f(x) = 2x-x^2 }}}, above the x-asis and between x=0 and x=1. a. Estimate A by

Algebra ->  Test -> SOLUTION: Please help me solve this equation: Let A be the area of the region that lies under the graph of {{{ f(x) = 2x-x^2 }}}, above the x-asis and between x=0 and x=1. a. Estimate A by       Log On


   



Question 345462: Please help me solve this equation: Let A be the area of the region that lies under the graph of +f%28x%29+=+2x-x%5E2+, above the x-asis and between x=0 and x=1.
a. Estimate A by taking the sample points to be right endpoints and using three subintervals.
b. Using right endpoints, find an expression for the area as a limit. Evaluate the limit.

Answer by Fombitz(32388) About Me  (Show Source):
You can put this solution on YOUR website!
Break up the interval into four segments.
DELTA%2Ax=%281-0%29%2F4=1%2F4
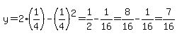
x=1%2F4,y=2%281%2F4%29-%281%2F4%29%5E2=1%2F2-1%2F16=8%2F16-1%2F16=7%2F16
x=1%2F2,y=2%281%2F2%29-%281%2F2%29%5E2=1-1%2F4=3%2F4
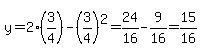
x=3%2F4,y=2%283%2F4%29-%283%2F4%29%5E2=24%2F16-9%2F16=15%2F16
x=1,y=2%281%29-1%5E2=2
A=DELTA%2Ax%2A%28y%281%2F4%29%2By%281%2F2%29%2By%283%2F4%29%2By%281%29%29
A=%281%2F4%29%2A%287%2F16%2B3%2F4%2B15%2F16%2B2%29
A=%281%2F4%29%2A%287%2F16%2B12%2F16%2B15%2F16%2B32%2F16%29
A=%281%2F4%29%2A%287%2F16%2B12%2F16%2B15%2F16%2B32%2F16%29
A=%281%2F4%29%2A%2866%2F16%29
highlight%28A=33%2F32%29
.
.
.
dx=1%2Fn
A=dx%2Asum%28y%5Bi%5D%2Ci=1%2Cn%29
.
.
A=%281%2Fn%29%2Asum%28%282%2Ax%5Bi%5D-x%5Bi%5D%5E2%29%2Ci=1%2Cn%29

.
.
A=A%5B1%5D%2BA%5B2%5D
Let's work on each sum separately,
A%5B1%5D=%281%2Fn%29%2Asum%28%282%2Ax%5Bi%5D%29%2Ci=1%2Cn%29
x%5Bi%5D=0%2Bi%2Fn
x%5Bi%5D=i%2Fn
x%5Bi%5D%5E2=i%5E2%2Fn%5E2
A%5B1%5D=%281%2Fn%29%2Asum%28%282%2A%28i%2Fn%29%29%2Ci=1%2Cn%29
A%5B1%5D=%282%2Fn%5E2%29%2Asum%28%28i%29%2Ci=1%2Cn%29
A%5B1%5D=%282%2Fn%5E2%29%2A%28n%28n%2B1%29%2F2%29
A%5B1%5D=%28n%28n%2B1%29%29%2Fn%5E2
A%5B1%5D=%28n%5E2%2B1%29%2Fn%5E2
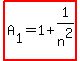
highlight%28A%5B1%5D=1%2B1%2Fn%5E2%29
.
.
.
A%5B2%5D=%281%2Fn%29%2Asum%28%28x%5Bi%5D%5E2%29%2Ci=1%2Cn%29
A%5B2%5D=%281%2Fn%29%2Asum%28%28%28i%2Fn%29%5E2%29%2Ci=1%2Cn%29
A%5B2%5D=%281%2Fn%5E3%29%2Asum%28%28i%5E2%29%2Ci=1%2Cn%29
A%5B2%5D=%281%2Fn%5E3%29%2A%28%28n%28n%2B1%29%282n%2B1%29%29%2F6%29
A%5B2%5D=%281%2Fn%5E2%29%2A%28%282n%5E2%2B3n%2B1%29%2F6%29
A%5B2%5D=%282n%5E2%2B3n%2B1%29%2F%286n%5E2%29
A%5B2%5D=2%2F6%2B3%2F%286n%29%2B1%2F%286n%5E2%29
highlight%28A%5B2%5D=1%2F3%2B1%2F%282n%29%2B1%2F%286n%5E2%29%29
.
.
.
Now put it back together,
A=A%5B1%5D-A%5B2%5D
A=1%2B1%2Fn%5E2-%281%2F3%2B1%2F%282n%29%2B1%2F%286n%5E2%29%29
A=1-1%2F3-1%2F%282n%29%2B1%2Fn%5E2-1%2F%286n%5E2%29
A=2%2F3-1%2F%282n%29%2B5%2F%286n%5E2%29
In the limit, as n goes to infinity
A=2%2F3-0%2B0
highlight_green%28A=2%2F3%29