SOLUTION: Find the cube roots of -i.

Algebra ->  Test -> SOLUTION: Find the cube roots of -i.      Log On


   



Question 340848: Find the cube roots of -i.
Answer by Edwin McCravy(20060) About Me  (Show Source):
You can put this solution on YOUR website!
There are three cube roots of every number [except 0, which only has 0 as all of its roots of any kind.]

i written as a complex number of the form a+bi is 0+1i.
The complex number a+bi is the vector that goes from the
origin to the point (a,b).

Therefore the number 0+1i is the vector that goes from the
origin to the point (0,1)

We want to put that number in trigonometric form.

First we draw the vector 0+1i which goes from the origin to 
the point (0,1)

 

and we see that its angle with the right hand side of the
x-axis is 90°:



So we see that the vector's magnitude (length) is r=1, and
its angle is theta=%2290%B0%22

Therefore the trigonometric form of i, or 0+1i, is

r%28cos%28theta%29%2Bi%2Asin%28theta%29%29 or in this case

1%28cos%28%2290%B0%22%29%2Bi%2Asin%28%2290%B0%22%29%29

Now the cosine and sine will not change if we add or subtract 360° 
any whole number of times.  So we can write that as:

1%28cos%28%2290%B0%2B360%B0n%22%29%2Bi%2Asin%28%2290%B0%2B360%B0n%22%29%29

Next we use DeMoivre's theorem, which states that



with r=1, theta=%2290%B0%2B360%B0n%22, n=1%2F3, since the cube root
is the 1%2F3 power.



1%2A%28cos%28%2230%B0%2B120%B0n%22%29%2Bi%2Asin%28%2230%B0%2B120%B0n%22%29%29

cos%28%2230%B0%2B120%B0n%22%29%2Bi%2Asin%28%2230%B0%2B120%B0n%22%29

Now we substitute any three consecutive values of integer n
We use the easiest ones, 0, 1 and 2

Substituting n=0

cos%28%2230%B0%2B120%B0n%22%29%2Bi%2Asin%28%2230%B0%2B120%B0n%22%29
cos%28%2230%B0%2B120%B0%280%29%22%29%2Bi%2Asin%28%2230%B0%2B120%B0%280%29%22%29
cos%28%2230%B0%22%29%2Bi%2Asin%28%2230%B0%22%29
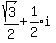
sqrt%283%29%2F2%2Bexpr%281%2F2%29i

Substituting n=1

cos%28%2230%B0%2B120%B0n%22%29%2Bi%2Asin%28%2230%B0%2B120%B0n%22%29
cos%28%2230%B0%2B120%B0%281%29%22%29%2Bi%2Asin%28%2230%B0%2B120%B0%281%29%22%29
cos%28%22150%B0%22%29%2Bi%2Asin%28%22150%B0%22%29
-sqrt%283%29%2F2%2Bexpr%281%2F2%29i

Substituting n=2

cos%28%2230%B0%2B120%B0n%22%29%2Bi%2Asin%28%2230%B0%2B120%B0n%22%29
cos%28%2230%B0%2B120%B0%282%29%22%29%2Bi%2Asin%28%2230%B0%2B120%B0%282%29%22%29
cos%28%2230%B0%2B240%B0%22%29%2Bi%2Asin%28%2230%B0%2B240%B0%22%29
cos%28%22270%B0%22%29%2Bi%2Asin%28%22270%B0%22%29
0%2Bi%2A%28-1%29
-i

So the three cube roots of i are

sqrt%283%29%2F2%2Bexpr%281%2F2%29i, -sqrt%283%29%2F2%2Bexpr%281%2F2%29i, -i

Edwin