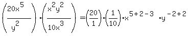
SOLUTION: (20x^5/y^2)•(x^2y^2/10x^3)
Algebra
->
Test
-> SOLUTION: (20x^5/y^2)•(x^2y^2/10x^3)
Log On
Test Calculators and Practice
Test
Answers archive
Answers
Word Problems
Word
Lessons
Lessons
Click here to see ALL problems on test
Question 338987
:
(20x^5/y^2)•(x^2y^2/10x^3)
Answer by
Fombitz(32388)
(
Show Source
):
You can
put this solution on YOUR website!