SOLUTION: how would I resolve this quadratic equation? Just learning how to this and need some help. (x^2 - 1 / x-1) - x = y Thanks:o)

Algebra ->  Test -> SOLUTION: how would I resolve this quadratic equation? Just learning how to this and need some help. (x^2 - 1 / x-1) - x = y Thanks:o)      Log On


   



Question 337124: how would I resolve this quadratic equation? Just learning how to this and need some help.
(x^2 - 1 / x-1) - x = y
Thanks:o)

Answer by Fombitz(32388) About Me  (Show Source):
You can put this solution on YOUR website!
Factor the quadratic.
x%5E2-1=%28x-1%29%28x%2B1%29
Substitute,
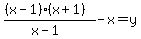
%28x%5E2+-+1%29%2F%28x-1%29+-+x+=+y
%28%28x-1%29%28x%2B1%29%29%2F%28x-1%29+-+x+=+y
%28cross%28%28x-1%29%29%28x%2B1%29%29%2Fcross%28%28x-1%29%29+-+x+=+y
%28x%2B1%29+-+x+=+y
highlight%28y=1%29