SOLUTION: Find y' y=√x^2+2x-1
Algebra
->
Test
-> SOLUTION: Find y' y=√x^2+2x-1
Log On
Test Calculators and Practice
Test
Answers archive
Answers
Word Problems
Word
Lessons
Lessons
Click here to see ALL problems on test
Question 269195
:
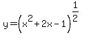
Find y'
y=√x^2+2x-1
Answer by
Alan3354(69443)
(
Show Source
):
You can
put this solution on YOUR website!
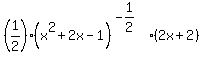
y' =
y' =