Question 24641: I need help on POINT SLOPE FORM. I am studying for my midterms. Then I have to put it into point slope form. I need help with the steps and remembering how to do them. I hope you can help me! Thank you!
Answer by josmiceli(19441) (Show Source):
You can put this solution on YOUR website! There are lots of ways to remember the meaning of slope.
Say you're climbing up a ramp that goes to the top of a vertical wall.
You get to the top of the wall, and you say "Boy are my legs tired.
My legs are twice as tired as yesterday when I climbed that other ramp,
but I know the wall was the same height as this one."
The slope of this ramp must be greater.
What do I mean by slope? Steepness. If it's really steep, I'm going to
struggle and my legs will get very tired.
OK, mathematically what do I mean by steep?
It's how much the ramp goes up divided by the distance to the wall that
I paced off on the ground. That's steepness.
If you draw it on a graph with x and y coordinates, it's the same thing.
The height of the ramp is:
y at the top of the ramp MINUS y at the bottom of the ramp
The distance to the wall on the ground is:
x at the wall MINUS x where the ramp began
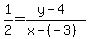
The slope formula is:

or, the same thing:

Look at the equation you were given. What must the numbers represent?
y1 = 5
y0 = 4
x1 = -1
x0 = -3
m = 1/2
Now you can write the formula this way:
That's where (x,y) is any old point on the line
(ramp), but everything still holds true.

reorder this so it looks like y = mx + b



lets check this. The slope is 1/2 That's OK
What about the 11/2?
That's what y is if you make x = 0
It's the point (0, 11/2). If I plug it into the slope formula, I should get 1/2.
(0, 11/2) is my new (x1, y1)


this equals 1/2, so all is well
I hope you're OK with all of this
|
|
|