SOLUTION: The center of the ellipse 4x^2+y^2-8x=0. Thanks in advance^^
Algebra
->
Test
-> SOLUTION: The center of the ellipse 4x^2+y^2-8x=0. Thanks in advance^^
Log On
Test Calculators and Practice
Test
Answers archive
Answers
Word Problems
Word
Lessons
Lessons
Click here to see ALL problems on test
Question 188066
:
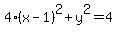
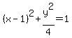
The center of the ellipse 4x^2+y^2-8x=0.
Thanks in advance^^
Answer by
Mathtut(3670)
(
Show Source
):
You can
put this solution on YOUR website!
:
:
:
:
center is a(1,0)