SOLUTION: Preform the indicated operation. Reduce 56.) 3/x+1+2/x-1
Algebra
->
Test
-> SOLUTION: Preform the indicated operation. Reduce 56.) 3/x+1+2/x-1
Log On
Test Calculators and Practice
Test
Answers archive
Answers
Word Problems
Word
Lessons
Lessons
Click here to see ALL problems on test
Question 163905
This question is from textbook
Elementary and Intermediate
:
Preform the indicated operation. Reduce
56.) 3/x+1+2/x-1
This question is from textbook
Elementary and Intermediate
Answer by
ankor@dixie-net.com(22740)
(
Show Source
):
You can
put this solution on YOUR website!
Assume the problem is:
+
:
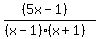
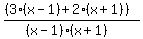
The common denominator is (x-1)(x+1) so we have
=
=