SOLUTION: Differentiate with respect to x, a) {{{y=(2x)/(e^x)}}} b) {{{y=3x*sin2x}}}

Algebra ->  Test -> SOLUTION: Differentiate with respect to x, a) {{{y=(2x)/(e^x)}}} b) {{{y=3x*sin2x}}}      Log On


   



Question 163503: Differentiate with respect to x,
a) y=%282x%29%2F%28e%5Ex%29
b) y=3x%2Asin2x

Answer by Edwin McCravy(20059) About Me  (Show Source):
You can put this solution on YOUR website!
Differentiate with respect to x,

a) y=%282x%29%2F%28e%5Ex%29

Write with constant coefficient 2 outside
   y=2%28x%2Fe%5Ex%29

Write denominator as a factor of numerator with negative
exponent:

   y=2%28x%2Ae%5E%28-x%29%29

Use product rules for derivative d%28u%2Av%29%2Fdx=u%28dv%2Fdx%29%2Bv%28du%2Fdx%29
and d%28e%5Eu%29%2Fdx=%28e%5Eu%29%28du%2Fdx%29

of the inside of parentheses:

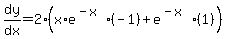
   dy%2Fdx=2%28x%2Ae%5E%28-x%29%2A%28-1%29%2Be%5E%28-x%29%2A%281%29%29  
   dy%2Fdx=2%28-x%2Ae%5E%28-x%29%2Be%5E%28-x%29%29 
factor out e%5E%28-x%29
   dy%2Fdx=2%28e%5E%28-x%29%28-x%2B1%29%29
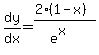
   dy%2Fdx=2%28e%5E%28-x%29%281-x%29%29
Write e%5E%28-x%29 in the numerator as e%5Ex in the denominator
   dy%2Fdx=%282%281-x%29%29%2F%28e%5Ex%29

---------------------

b) y=3x%2Asin%282x%29

Write with constant coefficient 3 outside

   y=3%28x%2Asin%282x%29%29

Use product rule for derivative d%28u%2Av%29%2Fdx=u%28dv%2Fdx%29%2Bv%28du%2Fdx%29
and d%28sin%28u%29%29%2Fdx=cos%28u%29%28du%2Fdx%29

of the inside of parentheses:

  dy%2Fdx=3%28x%2Acos%282x%29%2A%282%29%2Bsin%282x%29%2A%281%29%29 

  dy%2Fdx=3%282x%2Acos%282x%29%2Bsin%282x%29%29

Edwin