SOLUTION: add and simplify 1 + x-1 -----+ ------- x+2 + x-2 thank you

Algebra ->  Test -> SOLUTION: add and simplify 1 + x-1 -----+ ------- x+2 + x-2 thank you       Log On


   



Question 150006This question is from textbook Intermediate Algebra
: add and simplify
1 + x-1
-----+ -------
x+2 + x-2
thank you
This question is from textbook Intermediate Algebra

Answer by ankor@dixie-net.com(22740) About Me  (Show Source):
You can put this solution on YOUR website!
1 + x-1
-----+ -------
x+2 + x-2
:
1%2F%28%28x%2B2%29%29 + %28%28x-1%29%29%2F%28%28x-2%29%29
Common denominator: (x+2)(x-2)
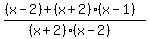
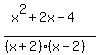
%28%28x-2%29+%2B+%28x%2B2%29%28x-1%29%29%2F%28%28x%2B2%29%28x-2%29%29 = %28x+-+2+%2B+%28x%5E2%2Bx-2%29%29%2F%28%28x%2B2%29%28x-2%29%29 =%28x+-+2+%2B+x%5E2+%2B+x+-+2%29%2F%28%28x%2B2%29%28x-2%29%29 = %28x%5E2+%2B+2x+-+4%29%2F%28%28x%2B2%29%28x-2%29%29