SOLUTION: knowing a gallon = 3.785 liters, how many gallons is 200 liters?
Algebra
->
Test
-> SOLUTION: knowing a gallon = 3.785 liters, how many gallons is 200 liters?
Log On
Test Calculators and Practice
Test
Answers archive
Answers
Word Problems
Word
Lessons
Lessons
Click here to see ALL problems on test
Question 14587
:
knowing a gallon = 3.785 liters, how many gallons is 200 liters?
Found 2 solutions by
Alwayscheerful, rahman
:
Answer by
Alwayscheerful(414)
(
Show Source
):
You can
put this solution on YOUR website!
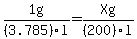
Set up a ratio
Cross-Multiply
Hope this helps!
Answer by
rahman(247)
(
Show Source
):
You can
put this solution on YOUR website!
a gallon = 3.785 liters -------->1 liter =
gallon
200 liter=
gallons = 52.84015852 gallons
OK