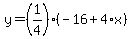
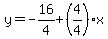
Start with the given equation
Add to both sides
Multiply both sides by 
Distribute 
Multiply
Rearrange the terms
Reduce any fractions
So the equation is now in slope-intercept form ( ) where (the slope) and (the y-intercept)
So to graph this equation lets plug in some points
Plug in x=-5

Multiply
Add
So here's one point (-5,-9)

Now lets find another point
Plug in x=-4

Multiply
Add
So here's another point (-4,-8). Add this to our graph

Now draw a line through these points
So this is the graph of through the points (-5,-9) and (-4,-8)
So from the graph we can see that the slope is (which tells us that in order to go from point to point we have to start at one point and go up 1 units and to the right 1 units to get to the next point) the y-intercept is (0, )and the x-intercept is ( ,0) . So all of this information verifies our graph.
We could graph this equation another way. Since this tells us that the y-intercept (the point where the graph intersects with the y-axis) is (0, ).
So we have one point (0, )

Now since the slope is , this means that in order to go from point to point we can use the slope to do so. So starting at (0, ), we can go up 1 units

and to the right 1 units to get to our next point

Now draw a line through those points to graph 
So this is the graph of through the points (0,-4) and (1,-3)
|