SOLUTION: Find the derivative of y=x using the first principle of differenciation 2) y=2x²—x

Algebra ->  Test -> SOLUTION: Find the derivative of y=x using the first principle of differenciation 2) y=2x²—x      Log On


   



Question 1210577: Find the derivative of y=x using the first principle of differenciation
2) y=2x²—x

Answer by KMST(5362) About Me  (Show Source):
You can put this solution on YOUR website!
I assume that in your class what was called the first principle of differentiation is that the derivative of a function f%28x%29 is
the limit of %28f%28x%2BDELTA%28x%29%29-f%28x%29%29%2FDELTA%28x%29 when DELTA%28x%29 tends to zero.

For y=x or f%28x%29=x , f%28x%2BDELTA%28x%29%29=x%2BDELTA%28x%29 , %28f%28x%2BDELTA%28x%29%29-f%28x%29%29%2FDELTA%28x%29%22=%22%28x%2BDELTA%28x%29-x%29%2FDELTA%28x%29%22=%22DELTA%28x%29%2FDELTA%28x%29=1 ,
but 1 does not depend on DELTA%28x%29 ,
so the limit of 1 when DELTA%28x%29 tends to zero is 1 and highlight%28df%2Fdx=1%29 or highlight%28dy%2Fdx=1%29


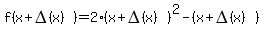
For y=2x%5E2%E2%80%94x or f%28x%29=2x%5E2%E2%80%94x ,
f%28x%2BDELTA%28x%29%29=2%28x%2BDELTA%28x%29%29%5E2-%28x%2BDELTA%28x%29%29%29%22=%222%28x%5E2%2B2DELTA%28x%29%2Ax%2B%28DELTA%28x%29%29%5E2%29-x-DELTA%28x%29%22=%222x%5E2%2B4DELTA%28x%29%2Ax%2B2%28DELTA%28x%29%29%5E2-x-DELTA%28x%29%22=%222x%5E2%2B4DELTA%28x%29%2Ax%2B2%28DELTA%28x%29%29%5E2-x-DELTA%28x%29 ,
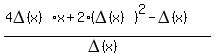
f%28x%2BDELTA%28x%29%29-f%28x%29%29%22=%222x%5E2%2B4DELTA%28x%29%2Ax%2B2%28DELTA%28x%29%29%5E2-x-DELTA%28x%29-%282x%5E2-x%29%22=%222x%5E2%2B4DELTA%28x%29%2Ax%2B2%28DELTA%28x%29%29%5E2-x-DELTA%28x%29-2x%5E2%2Bx%29%22=%224DELTA%28x%29%2Ax%2B2%28DELTA%28x%29%29%5E2-DELTA%28x%29%29 ,
%28f%28x%2BDELTA%28x%29%29-f%28x%29%29%2FDELTA%28x%29%22=%22%284DELTA%28x%29%2Ax%2B2%28DELTA%28x%29%29%5E2-DELTA%28x%29%29%2FDELTA%28x%29%22=%224x%2B2x%2B2DELTA%28x%29-1 , and the limit of 4x%2B2DELTA%28x%29-1 when DELTA%28x%29 tends to zero is 4x-1 , so highlight%28dy%2Fdx=4x-1%29