SOLUTION: Determine the 34th and 44th Fibonacci number.

Algebra ->  Test -> SOLUTION: Determine the 34th and 44th Fibonacci number.       Log On


   



Question 1199548: Determine the 34th and 44th Fibonacci number.

Found 2 solutions by greenestamps, Edwin McCravy:
Answer by greenestamps(13203) About Me  (Show Source):
You can put this solution on YOUR website!


The Fibonacci sequence begins with 1, 1, 2, 3, 5, ...; each term is the sum of the preceding two terms.

You can, if you want, take the time and effort with pencil and paper to find the 34th and 44th terms in the sequence. But the only possible benefit you will get from doing that is practice in finding the sum of two numbers....

So, as I said in my earlier response, the easiest way to determine the 34th and 44th Fibonacci numbers is to search the internet.

Or a possible alternative, which can teach you something about how to use spreadsheets, is to use a spreadsheet like excel to find the numbers.


Answer by Edwin McCravy(20060) About Me  (Show Source):
You can put this solution on YOUR website!
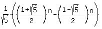
Actally there is a formula for the nth Fibonacci number.  It is

%22fib%28n%29%22%22%22=%22%22

Get your scientific calculator and plug in n=34 and n=44

Edwin