SOLUTION: Differentiate the following with the respect of x. a) (2-√x)^6 b) 1/(1-1/x)^3 c)1/2(3x-2)^2

Algebra ->  Test -> SOLUTION: Differentiate the following with the respect of x. a) (2-√x)^6 b) 1/(1-1/x)^3 c)1/2(3x-2)^2      Log On


   



Question 1190800: Differentiate the following with the respect of x.
a) (2-√x)^6
b) 1/(1-1/x)^3
c)1/2(3x-2)^2

Found 2 solutions by MathLover1, Alan3354:
Answer by MathLover1(20850) About Me  (Show Source):
You can put this solution on YOUR website!
Differentiate
a)
%282-sqrt%28x%29%29%5E6
%28d%2Fdx%29%28%282+-+sqrt%28x%29%29%5E6%29 ..........apply the chain rule
=6%282+-sqrt%28x%29%29%5E5%28d%2Fdx%29%282-sqrt%28x%29%29........%28d%2Fdx%29%282+-+sqrt%28x%29%29=-1%2F%282sqrt%28x%29%29
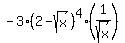
=6%282+-+sqrt%28x%29%29%5E5%2A%28-1%2F%282sqrt%28x%29%29%29........simplify
=-3%282+-+sqrt%28x%29%29%5E4%2A%281%2Fsqrt%28x%29%29
=+-%283+%282+-+sqrt%28x%29%29%5E5%29%2Fsqrt%28x%29


b)
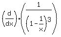
1%2F%281-1%2Fx%29%5E3

+%28d%2Fdx%29+%281%2F%281-1%2Fx%29%5E3%29........... apply exponent rule: 1%2Fa=a%5E-1
=%28d%2Fdx%29+%28%281-1%2Fx%29%5E-3%29 .........apply the chain rule
=-3%2F%28%281-1%2Fx%29%5E4%29%28d%2Fdx%29%281-1%2Fx%29.........%28d%2Fdx%29%281-1%2Fx%29=1%2Fx%5E2
=-3%2F%28%28%28x-1%29%2Fx%29%5E4%29%281%2Fx%5E2%29......simplify
=-3%2F%28%28x-1%29%5E4%2Fx%5E4%29%281%2Fx%5E2%29
=-3%2F%28%28x-1%29%5E4%2Fx%5E4%29%281%2Fx%5E2%29
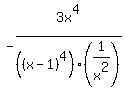
=-3x%5E4%2F%28%28x-1%29%5E4%29%281%2Fx%5E2%29.....simplify
=-3x%5E2%2F%28%28x-1%29%5E4%29


c)
assuming you have
1%2F%282%283x-2%29%5E2%29
+%28d%2Fdx%29%281%2F%282%283x-2%29%5E2%29%29...........take the constant out

=%281%2F2%29%28d%2Fdx%29%281%2F%283x-2%29%5E2%29....... apply exponent rule
=%281%2F2%29%28d%2Fdx%29%28%283x-2%29%5E-2%29.........apply the chain rule
=%281%2F2%29%28-2%2F%28%283x-2%29%5E3%29%29%28d%2Fdx%29%283x-2%29..........%28d%2Fdx%29%283x-2%29=3
=%282%2F%28-2%283x-2%29%5E3%29%29%283%29......simplify
=%28-1%2F%28%283x-2%29%5E3%29%29%283%29
=-3%2F%283x-2%29%5E3




Answer by Alan3354(69443) About Me  (Show Source):
You can put this solution on YOUR website!
with the respect of x.
--------------
It's with respect to x.