@ (1,0)
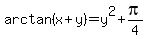
We need the formula: 


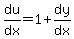
Let
, then
. For the right side,
is just a constant and its derivative is 0.


Now we substitute x=1 and y=0, then solve for












That's the slope of the tangent line
Now find the equation of the tangent line which goes thru
(1,0), which has the slope m = -1




Edwin