SOLUTION: numerator 4 denominator -2+sqrt7

Algebra ->  Test -> SOLUTION: numerator 4 denominator -2+sqrt7      Log On


   



Question 117095: numerator 4
denominator -2+sqrt7

Answer by ptaylor(2198) About Me  (Show Source):
You can put this solution on YOUR website!
numerator 4
denominator -2+sqrt7

4%2F%28-2%2Bsqrt%287%29%29 multiply numerator and denominator by-2-sqrt%287%29--the conjugate of -2%2Bsqrt%287%29. This will get rid of the radical in the denominator.
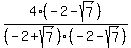
4%28-2-sqrt%287%29%29%2F%28-2%2Bsqrt%287%29%29%28-2-sqrt%287%29%29 and this equals
4%28-2-sqrt%287%29%29%2F%284-2sqrt%287%29%2B2sqrt%287%29-7%29 which equals
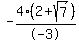
-4%282%2Bsqrt%287%29%29%2F-3 or
%284%2F3%29%282%2Bsqrt%287%29%29

Hope this helps---ptaylor