SOLUTION: x-4 + x-3 _____ ______ x2-4x-5 x2-25

Algebra ->  Test -> SOLUTION: x-4 + x-3 _____ ______ x2-4x-5 x2-25      Log On


   



Question 116858: x-4 + x-3
_____ ______
x2-4x-5 x2-25

Answer by ankor@dixie-net.com(22740) About Me  (Show Source):
You can put this solution on YOUR website!
%28%28x-4%29%29%2F%28%28x%5E2-4x-5%29%29 + %28%28x-3%29%29%2F%28%28x%5E2-25%29%29
:
Factor where you can:
%28%28x-4%29%29%2F%28%28x-5%29%28x%2B1%29%29 + %28%28x-3%29%29%2F%28%28x-5%29%28x%2B5%29%29%29
:
The common denominator is (x-5)(x+1)(x+5)
%28%28x%2B5%29%28x-4%29+%2B+%28x%2B1%29%28x-3%29%29%2F%28x-5%29%28x%2B1%29%28x%2B5%29%29
FOIL in the numerator:
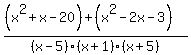
%28%28x%5E2%2Bx-20%29%2B+%28x%5E2-2x-3%29%29%2F%28x-5%29%28x%2B1%29%28x%2B5%29%29
:
%28x%5E2+%2B+x%5E2+%2B+x+-+2x+-+20+-+3%29%2F%28x-5%29%28x%2B1%29%28x%2B5%29%29
:
%282x%5E2+-+x+-+23%29%2F%28x-5%29%28x%2B1%29%28x%2B5%29%29