SOLUTION: How much pure water must be mixed with 4 pints of 50% developer to produce a mixture that is 32% developer? Thank you!

Algebra ->  Test -> SOLUTION: How much pure water must be mixed with 4 pints of 50% developer to produce a mixture that is 32% developer? Thank you!       Log On


   



Question 1165977: How much pure water must be mixed with 4 pints of 50% developer to produce a mixture that is 32% developer?
Thank you!

Found 2 solutions by josgarithmetic, greenestamps:
Answer by josgarithmetic(39618) About Me  (Show Source):
You can put this solution on YOUR website!
2%2F0.32-4pints
-
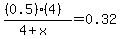
You can start with the given description, write into the form of this equation, and solve:

%28%280.5%29%284%29%29%2F%284%2Bx%29=0.32

Answer by greenestamps(13200) About Me  (Show Source):
You can put this solution on YOUR website!


A non-algebraic approach....

You are starting with 50% developer and adding 0% developer (pure water), stopping when you get to 32%.

From 50 to 32 is a difference of 18; from 50 to 0 is a difference of 50.

So you are stopping adding water 18/50 = 9/25 of the way from 50% to 0%.

That means 9/25 of the final mixture is the water you are adding; that means 16/25 of the mixture is the 50% developer you started with.

So 16/25 of the mixture was 4 pints; that means the 9/25 of the mixture that is water is 9/16 of 4 pints, or 9/4 = 2.25 pints.

ANSWER: Add 2.25 pints of pure water.

CHECK:
.50(4)+0(2.25) = 2+0 = 2
.32(4+2.25) = .32(6.25) = 2