SOLUTION: Eliminate θ, if x = 3cosecθ + 4cotθ y = 4cosecθ - 3cotθ
Algebra
->
Test
-> SOLUTION: Eliminate θ, if x = 3cosecθ + 4cotθ y = 4cosecθ - 3cotθ
Log On
Test Calculators and Practice
Test
Answers archive
Answers
Word Problems
Word
Lessons
Lessons
Click here to see ALL problems on test
Question 1157780
:
Eliminate θ, if
x = 3cosecθ + 4cotθ
y = 4cosecθ - 3cotθ
Answer by
Edwin McCravy(20063)
(
Show Source
):
You can
put this solution on YOUR website!
Use Cramer's rule (or substitution or addition, but Cramer's rule is easiest)
to solve for csc(θ) and cot(θ)
Next we use the identity
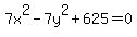
You can simplify that and get
Edwin