SOLUTION: Perform a first derivative test on the function f(x)= x sqrt(64-x^2);[-8,8]. a. Locate the critical points of the given function. b. Use the first derivative test to locate the l

Algebra ->  Test -> SOLUTION: Perform a first derivative test on the function f(x)= x sqrt(64-x^2);[-8,8]. a. Locate the critical points of the given function. b. Use the first derivative test to locate the l      Log On


   



Question 1155973: Perform a first derivative test on the function f(x)= x sqrt(64-x^2);[-8,8].
a. Locate the critical points of the given function.
b. Use the first derivative test to locate the local maximum and minimum values.
c. Identify the absolute minimum and maximum values of the function on the given interval(if they exist).

Answer by MathLover1(20850) About Me  (Show Source):
You can put this solution on YOUR website!
Perform a first derivative test on the function
f%28x%29=+x%2Asqrt%2864-x%5E2%29+
[-8,8].


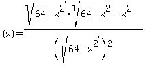
f'+%28x%29+=%28d%2Fdx%29x%2Asqrt%2864-x%5E2%29+%2Bx%28%28d%2Fdx%29sqrt%2864-x%5E2%29%29
f' %28x%29+=1%2Asqrt%2864-x%5E2%29+%2Bx%28+-x%2Fsqrt%2864+-+x%5E2%29%29
f' %28x%29+=sqrt%2864-x%5E2%29++-x%5E2%2Fsqrt%2864+-+x%5E2%29%29
f'
f' %28x%29+=%2864+-+x%5E2++-x%5E2%29%2F%2864+-+x%5E2%29
f' %28x%29+=%2864+-+2x%5E2+%29%2F%2864+-+x%5E2%29
set f'+%28x%29+=0
%2864+-+2x%5E2+%29%2F%2864+-+x%5E2%29=0

will be zero if
%2864+-+2x%5E2+%29=0
64+=2x%5E2
x%5E2=32
x=sqrt%2832%29
x4sqrt%282%29 => both are in given [-8,8]
=> extreme points are at
x=4sqrt%282%29+ and x=-4sqrt%282%29
or
x=5.7+ and x=-5.7

use second derivate test to determine where is max and where is min
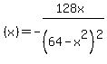
f''%28x%29+=+-%28128+x%29%2F%2864+-+x%5E2%29%5E2

f''%285.7%29+=-%28128+%2A5.7%29%2F%2864+-+%285.7%29%5E2%29%5E2=-0.7 => negative, the absolute maximum is at 5.7

f'%28-5.7%29+=-%28128+%2A-5.7%29%2F%2864+-+%28-5.7%29%5E2%29%5E2=0.7 => positive, the absolute minimum is at -5.7


+graph%28+600%2C+600%2C+-10%2C+10%2C+-40%2C+40%2C+x%2Asqrt%2864-x%5E2%29%29+