SOLUTION: two more than half of a given number is 8 find the number
Algebra
->
Test
-> SOLUTION: two more than half of a given number is 8 find the number
Log On
Test Calculators and Practice
Test
Answers archive
Answers
Word Problems
Word
Lessons
Lessons
Click here to see ALL problems on test
Question 1154109
:
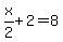
two more than half of a given number is 8 find the number
Answer by
MathLover1(20850)
(
Show Source
):
You can
put this solution on YOUR website!
more than
of a given number
is
:
the number is