SOLUTION: A spherical ballon is being filled with air at a constant rate of 2cm^3 per second. Use the chain rule for differentiation to find an expression for dr/dt in terms of r, where t is

Algebra ->  Test -> SOLUTION: A spherical ballon is being filled with air at a constant rate of 2cm^3 per second. Use the chain rule for differentiation to find an expression for dr/dt in terms of r, where t is      Log On


   



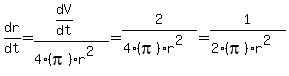
Question 1142694: A spherical ballon is being filled with air at a constant rate of 2cm^3 per second. Use the chain rule for differentiation to find an expression for dr/dt in terms of r, where t is the time in seconds.
Answer by greenestamps(13203) About Me  (Show Source):