SOLUTION: If log2, log(2^x-1) and log(2^x+1) are in A.P, find the value of x.

Algebra ->  Test -> SOLUTION: If log2, log(2^x-1) and log(2^x+1) are in A.P, find the value of x.       Log On


   



Question 1134421: If log2, log(2^x-1) and log(2^x+1) are in A.P, find the value of x.
Found 2 solutions by MathLover1, greenestamps:
Answer by MathLover1(20855) About Me  (Show Source):
You can put this solution on YOUR website!

If log%282%29, log%282%5E%28x-1%29%29 and log%282%5E%28x%2B1%29%29 are in A.P, find the value of x.

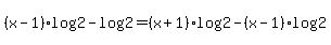
If these are in AP, then

log%282%5E%28x-1%29%29-log%282%29+=+log%282%5E%28x%2B1%29%29-log%282%5E%28x-1%29%29+

%28x-1%29+log%282%29-log%282%29+=+%28x%2B1%29log%282%29-%28x-1%29log%282%29+

%28%28x-1%29-1%29log%282%29+=+%28%28x%2B1%29-%28x-1%29%29log%282%29+

%28x-1-1%29cross%28log%282%29+%29=+%28x%2B1-x%2B1%29cross%28log%282%29+%29

x-2=+2

x=4


Answer by greenestamps(13330) About Me  (Show Source):
You can put this solution on YOUR website!


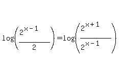
If the three expressions are in AP, then



A difference of logarithms is the logarithm of the quotient;


log%28%282%5E%28%28x-1%29-1%29%29%29+=+log%28%282%5E%28%28x%2B1%29-%28x-1%29%29%29%29
log%28%282%5E%28x-2%29%29%29+=+log%28%282%5E2%29%29
x-2+=+2
x+=+4

The result can be obtained more easily by a different method.

The three log expressions are in AP; they are in AP regardless of what base we use for the logarithms. Since the expressions are all the logarithms of powers of 2, use log base 2. Taking log base 2 of all the expressions in the original equation gives us

%28x-1%29-%281%29+=+%28x%2B1%29-%28x-1%29
x-2+=+2
x+=+4